インベントリスキャナは、ZENworks 7ワークステーションインベントリが配置されたインベントリ対象のワークステーションのスキャンプロセスを効果的であると同時に効率的に制御するために、次の機能が強化されました。
ここでは、次の内容について説明します。
ZENworksソフトウェアディクショナリには、ソフトウェア識別情報とルールのリストが含まれています。それぞれのソフトウェア識別情報により、インベントリ対象ワークステーションにインストールされている特定の製品が識別されます。ルールは、スキャンプロセスの範囲を制御します。
ZENworksソフトウェアディクショナリは、ワークステーションインベントリソフトウェアのインストール時に、インベントリサーバおよびインベントリ対象ワークステーションに自動的にインストールされます。必要なポリシーを設定してインベントリサービスを起動するとインベントリスキャナによって、ソフトウェアディクショナリに基づくソフトウェア情報がレポートされます。
ソフトウェアディクショナリには、一般ディクショナリとプライベートディクショナリの2種類があります。
一般ディクショナリ: 一般ディクショナリは、ソフトウェアディクショナリの一部であり、定義済みのソフトウェア識別情報を含んでいます。このディクショナリに基づいて、インベントリスキャナは、特定の製品がインベントリ対象ワークステーションにインストールされているかどうかをレポートします。
プライベートディクショナリ: プライベートディクショナリは、ソフトウェアディクショナリの一部であり、ユーザ定義のソフトウェア識別情報、およびインベントリスキャンの範囲の定義とソフトウェア情報のカスタマイズを可能にするルールが含まれています。ユーザは、ルールを設定することができます。ルールの設定方法に関する詳細については、セクション 76.3.10, ソフトウェアディクショナリのルールの設定を参照してください。
重要:プライベートディクショナリで定義したルールは、一般ディクショナリの定義済みのルールよりも優先されます。
ソフトウェアディクショナリルールは、スキャンプロセスの範囲を制御する条件セットを表します。
ソフトウェア製品を識別するエントリのことをソフトウェア識別情報と呼びます。各ソフトウェア識別情報には、ファイル照合属性および対応するソフトウェア情報属性のセットが含まれています。インベントリスキャンで、スキャナによってファイルのヘッダから読み取られた属性がディクショナリ内に設定された属性と一致した場合は、対応するソフトウェア情報属性の情報がインベントリデータベースに保存されます。
ソフトウェア製品は、ディクショナリ内の複数のソフトウェア識別情報で識別される場合があります。そのような場合、インベントリスキャナは、これらのソフトウェア識別情報の1つから任意にソフトウェア情報を選択します。キーIDは、インベントリスキャナがソフトウェア情報を選択する基になるソフトウェア識別情報を識別します。キーIDは、異なるソフトウェア識別情報における属性の値(たとえば説明)にあまり差がないときに、インベントリスキャナが特定のソフトウェア識別情報からの情報を選択するようにしたい場合に便利です。
不明なソフトウェアの特徴は次のとおりです。
継承されたルールとは、ディクショナリの配布をとおして他のインベントリサーバから取得された、ソフトウェアディクショナリの1つのエントリです。これらのルールを編集したり削除したりすることはできません。ZENworks 7インベントリサーバのソフトウェアディクショナリにアクセスすると、これらのルールは濃い灰色で表示されます。
一般ディクショナリ内のデフォルトのソフトウェア識別情報は変更できません。デフォルトの識別情報を上書きする新しいソフトウェア識別情報を作成すれば、デフォルトのソフトウェア識別情報を変更できます。インベントリスキャナは、新しいエントリを優先してデフォルトの識別情報を無視します。
デフォルトの識別情報を上書きするソフトウェア識別情報を作成するには、デフォルトの識別情報に定義されている属性の中で一致する属性すべてに対して同じ値を指定し、ソフトウェア情報属性の新しい値を指定する必要があります。
ZENworksソフトウェアディクショナリルールは、優先順位に従って使用されます。すべてのソフトウェアディクショナリルールに適用されるガイドラインと、特定のカテゴリのソフトウェアディクショナリルールにのみ適用されるガイドラインがあります。詳細については、次の節を参照してください。
次のガイドラインは、設定したすべてのソフトウェアディクショナリルールに適用されます。
デフォルトでは、スキャナはインストールされているソフトウェアの最新バージョンのみをレポートします。“ソフトウェアの全バージョンのレポート”のルールが“最新バージョンのソフトウェアのみをレポート”のルールと矛盾する場合は、“最新バージョンのソフトウェアのみをレポート”のルールが“ソフトウェアの全バージョンのレポート”のルールよりも優先されます。
Software Scanningカテゴリ内のソフトウェアディクショナリルールにより、ローカルファイルシステム上のファイルのスキャン範囲が制御されます。
ソフトウェアスキャンカテゴリには、次のソフトウェアディクショナリルールが含まれています。
このようなルールを設定しないと、インベントリスキャナはインベントリ対象ワークステーションのハードディスク上にあるすべてのファイルをスキャンします。ファイルと一致するソフトウェア識別情報がソフトウェアディクショナリ内にある場合、そのファイルは識別されたソフトウェアとしてレポートされます。一致するものがない場合、そのファイルは不明なソフトウェアとしてレポートされます。
これらのルールを設定した場合、各ルールは次に示す降順で適用されます。
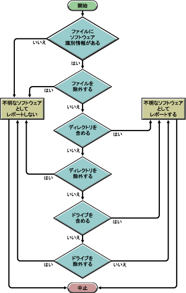
次のフローチャートは、これらのルールの優先順位を示しています。
図 76-1 Software Scanningカテゴリのソフトウェアディクショナリルールの優先順位

図 76-2 Software Scanningカテゴリのソフトウェアディクショナリルールの優先順位

Disk Usage Scanningカテゴリ内のソフトウェアディクショナリルールにより、ファイルがディスク使用状況スキャンの対象になるかどうかが決まります。
ディスク使用状況スキャンカテゴリには、次のソフトウェアディクショナリルールが含まれています。
ファイルをディスク使用状況スキャンの対象に含めるには、ファイルの拡張子が“ファイル拡張子別のディスク使用状況のレポート”ルールに含まれていて、他のディスク使用状況スキャンルールのインベントリスキャンから除外されていないことが必要です。
次の一覧の各ルールが降順で適用されます。
次のフローチャートは、これらのルールの優先順位を示しています。
図 76-3 Disk Usage Scanningカテゴリのソフトウェアディクショナリルールの優先順位

ソフトウェアディクショナリルールを設定する前に、ZENworks 7でサポートされる次のソフトウェアディクショナリパターンタイプに注意する必要があります。
正規表現とは、POSIX*正規表現を表します。regexp (正規表現)の詳細については、The Open Group Base Specifications Issue 6 Webサイトを参照してください。
正規表現の使用例:
メモ:[、\、^、$、.、|、?、(、)、*、および+などのメタ文字を使用する場合は、文字の前にバックスラッシュ(\)を挿入します。たとえば、c:\\windowsを正規表現で指定する場合は、c:\windowsと指定する必要があります。
拡張可能な表現には、表示可能な文字とアスタリスク(*)ワイルドカード文字が含まれています。
“*”は0個以上の表示可能な文字と一致します。
拡張可能な表現の使用例
NetWareの場合: システムの拡張可能な表現には、表示可能な文字と環境変数への参照が含まれます。
環境変数の例:$sysdir
Windowsの場合: システムの拡張可能な表現には、表示可能な文字、環境変数への参照、またはワイルドカード文字のアスタリスク(*)を使用できます。
“*”は0個以上の表示可能な文字と一致します。
環境変数の例:%temp%
重要:システムの拡張可能な表現には、表示可能な文字の組み合わせ、環境変数への参照、またはワイルドカード文字のアスタリスク(*)を使用できますが、環境変数を使用する場合には、環境変数を式の最初に指定する必要があります。たとえば、「%temp%/*」のように指定します。
システムの拡張可能な表現の使用例
ConsoleOneで、Inventory Serviceオブジェクト(Inventory Service_server_name)を右クリックし、をクリックします。
タブをクリックします。デフォルトでは[ソフトウェア設定]ページが表示されます。
次のように設定して、ソフトウェアインベントリ情報をスキャンできます。
ファイルとソフトウェアのマッピング: 次のルールを追加します。
不明なソフトウェアの管理: 次のルールを追加します。
複数のソフトウェアバージョンの管理: 次のルールを追加します。
[Disk Usage]: 次のルールを追加します。
重要:ZENworksソフトウェアディクショナリルールを設定する際には、これらのルールの使用方法に注意する必要があります。詳細については、セクション 76.3.8, ZENworksソフトウェアディクショナリルールの使用と優先順位についてを参照してください。
![[ソフトウェア設定]ページ](../graphics/swconfig_a.gif)
ファイルのスキャン範囲を制御するには、ページをクリックし、次のように設定します。
ソフトウェアスキャンフィルタ: 次のルールを追加します。
ディスク使用状況のスキャンのフィルタ: 次のルールを追加します。
重要:ZENworksソフトウェアディクショナリルールを設定する際には、これらのルールの使用方法に注意する必要があります。詳細については、セクション 76.3.8, ZENworksソフトウェアディクショナリルールの使用と優先順位についてを参照してください。
![[フィルタ]ページ](../graphics/filters_a.gif)
ページをクリックし、次のオプションを設定します。
別名の指定: ベンダやソフトウェアの名前の別名を設定できます。
Inventory ConsoleOneユーティリティでは、デフォルトでソフトウェア情報はベンダ名で分類されます。同じベンダのソフトウェアに異なるベンダ名または製品名が使用されている場合があります。その場合、Inventory ConsoleOneユーティリティは、ソフトウェア情報を異なるセクションに表示します。
ただし、別名を指定してソフトウェア情報を統合することができます。これらの設定は、次のソフトウェアディクショナリルールでカスタマイズします。
ソフトウェアの調停: [プログラムの追加と削除]またはMSIで認識されているソフトウェア、およびZENworksソフトウェアディクショナリで認識されているソフトウェアを、マージすることができます。詳細については、セクション 76.3.25, [ソフトウェアの照合]を参照してください。
重要:ZENworksソフトウェアディクショナリルールを設定する際には、これらのルールの使用方法に注意する必要があります。詳細については、セクション 76.3.8, ZENworksソフトウェアディクショナリルールの使用と優先順位についてを参照してください。
![[別名]ページ](../graphics/aliases_a.gif)
>の順にクリックします。
ソフトウェア設定のプロパティページで、ソフトウェアインベントリ情報をスキャンする際に、ZENworksソフトウェアディクショナリに設定されているファイルとソフトウェアのデフォルトマッピングルールをインベントリスキャナで使用しない場合には、チェックボックスを選択します。
重要:ソフトウェアディクショナリが他のインベントリサーバから更新される場合は、このオプションを選択できません。
オプションを使用すると、ZENworksソフトウェアディクショナリ内にソフトウェア識別情報を設定できます。
デフォルトでは、ZENworksソフトウェアディクショナリには定義済みのソフトウェア識別情報が含まれています。ZENworksソフトウェアディクショナリに新しいソフトウェア識別情報を作成する方法として、定義済みのソフトウェア識別情報を編集する方法と、ゼロから新しいソフトウェア識別情報を作成する方法があります。
ZENworksソフトウェアディクショナリのルールを設定するには
ソフトウェア設定のプロパティページで、のオプションをクリックします。
[ソフトウェアディクショナリ]テーブルが表示されます。
![[ソフトウェアディクショナリ]テーブル](../graphics/swdict_a.gif)
[ソフトウェアディクショナリ]テーブルには、ZENworksソフトウェアディクショナリに格納されているデータが表示されます。このテーブルに含まれるエントリには、次のものがあります。
薄い灰色: テーブルにはこれらのエントリを上書きするエントリがすでに含まれているのでこれらのエントリはスキャン対象とならないことを示します。
濃い灰色: これらは継承されたルールです。継承されたルールの詳細については、セクション 76.3.6, 継承されたルールとはを参照してください。
[ソフトウェアディクショナリ]テーブルでは、次の操作を実行できます。
をクリックします。
[ソフトウェアディクショナリ]テーブルで、をクリックして新しい行を追加します。
次の属性の値を指定します。
ファイル名、ファイルの最終更新時(yyyy-dd-mm 時:分)、最小ファイルサイズ(バイト単位)、最大ファイルサイズ(バイト単位)、ソフトウェア名、サポートパック、ソフトウェアバージョン、内部バージョン、説明、ベンダ名、プラットフォーム、およびカテゴリ。
次の属性は「照合属性」とよばれます。ファイル名、ファイルの最終修正日時、最小ファイルサイズ、最大ファイルサイズ、内部バージョン。これらの照合属性の値は、インベントリ対象ワークステーション上のファイルのヘッダからインベントリスキャナによってスキャンされた値と比較されます。
値が同じである場合は、対応するソフトウェア情報属性の値(ソフトウェア名、サポートパック、ソフトウェアバージョン、説明、ベンダ、プラットフォーム、およびカテゴリ)がインベントリデータベースに格納されます。
[ソフトウェアディクショナリ(Software Dictionary)]テーブルで、次の属性の値を指定する必要があります。ファイル名、ソフトウェア名、およびベンダ。他の属性値の指定はオプションです。
エントリを追加すると、ディクショナリIDと呼ばれる一意のIDがこのエントリに自動的に割り当てられます。
たとえば、[ソフトウェアディクショナリ-行エディタ(Software Dictionary - Row Editor)]テーブルで次のように設定します。
インベントリスキャナのスキャンで「ファイル名= MSACCESS.EXE、ファイルの最終更新時= 1998-30-01 05:30、ファイルサイズ= 300000」という値のファイルが見つかった場合は、次の情報がインベントリデータベースに保存されます。
属性の値を指定しないと、この属性は優先されるエントリを決定する場合に考慮されません。また、照合属性だけが上書きエントリを決定するものとみなされます。たとえば、[Configure Dictionary(ディクショナリの設定)]テーブルに、MS Wordに関する次のエントリがあるとします。
|
ファイル名 |
ファイルの最小サイズ |
ファイルの最大サイズ |
ソフトウェア名(Software Name) |
ベンダ名 |
|---|---|---|---|---|
|
winword.exe |
10000 |
10000 |
Word |
Microsoft |
|
winword.exe |
0 |
30000 |
Word |
Microsoft |
上書きエントリを判定する場合、最大ファイルサイズ値のみが考慮されます。したがって、最大ファイルサイズが30000の2番目のエントリが最初のエントリよりも優先されます。
(オプション)このエントリのチェックボックスを選択します。
たとえば、[ソフトウェアディクショナリ(Software Dictionary)]テーブルに、MS Wordに関する次のエントリがあるものとします。
キーIDが定義されていない場合、MS Wordのソフトウェア情報は、これらのどのエントリからも選択される可能性があります。
“Winword.exe”に対応するIDから情報を確実に取得するために、“Winword.exe”のを選択してください。“Winword.exe”を[ソフトウェアディクショナリを設定する]テーブルのキーIDとして選択すると、インベントリスキャナは、winword.exeに関連する情報をインベントリデータベースに保存します。
[ソフトウェアディクショナリ]テーブルで、ペインのをクリックします。
[未定義のソフトウェアを管理する]テーブルで、次の手順を実行します。
ソフトウェアディクショナリに追加するエントリを選択します。
ペインのをクリックします。
をクリックします。
[ソフトウェアディクショナリ]テーブルで、削除するエントリを選択します。
をクリックします。
重要:継承されたエントリ以外のエントリを削除できます。
[ソフトウェアディクショナリ]テーブルで、値を変更するエントリをダブルクリックします。
一度に1つのエントリのみを変更できます。
ヒント:[行エディタ]ダイアログボックスは、変更するエントリを選択し、<Enter>キー、<Spacebar>キー、または<F2>キーを押して起動することもできます。
値を変更します。
ディクショナリIDおよびファイル名の属性値は変更できません。
をクリックします。
重要:継承されたルールの値を変更することはできません。また、デフォルトの定義済みのルールを変更すると、新しいユーザ定義のルールが作成されます。
[ソフトウェアディクショナリ]テーブルで、インベントリスキャンから除外するソフトウェアに対応するエントリを選択します。
ペインのをクリックします。
ソフトウェアスキャンフィルタ -[ソフトウェア]の[ソフトウェアを無視する]テーブルにエントリが追加されます。
[これらの拡張子のファイルを不明なソフトウェアとしてレポートします]ルールを使用すると、不明なソフトウェアとしてレポートする必要があるファイルのファイル拡張子を設定できます。
ルールを設定するには
ソフトウェア設定のプロパティページで、のオプションをクリックします。
[不明なソフトウェアとしてファイルをレポートするファイル拡張子の設定]テーブルが表示されます。
![[不明なソフトウェアとしてファイルをレポートするファイル拡張子の設定]テーブル](../graphics/reportfiles_unsw_a.gif)
をクリックして、新しい行を追加します。
ドロップダウンリストで、またはを選択します。
ファイル拡張子を指定します。
をクリックします。
たとえば、拡張子が「.exe」のソフトウェアを不明なソフトウェアとしてレポートするようにInventory Scannerを設定するには、テーブルで次のように設定します。
重要:継承されたルールがテーブルに含まれることがあります。これらのルールは、ディクショナリ更新ポリシーで設定したインベントリサーバのソフトウェアディクショナリだけで編集または削除できます。ZENworks 7インベントリサーバのソフトウェアディクショナリにアクセスすると、これらのルールは濃い灰色で表示されます。
テーブルからエントリを削除するには、エントリを選択し、をクリックします。継承されたエントリ以外のエントリを削除できます。
[未定義のソフトウェアを管理する]ルールを使用すると、不明なソフトウェアをインベントリスキャンの対象にする、またはスキャンから除外することができます。
このルールを設定するには
ソフトウェア設定のプロパティページで、のオプションをクリックします。
[未定義のソフトウェアを管理する]テーブルが表示されます。
![[未定義のソフトウェアを管理する]テーブル](../graphics/manage_unsw_a.gif)
重要:継承されたルールがテーブルに含まれることがあります。これらのルールは、ディクショナリ更新ポリシーで設定したインベントリサーバのソフトウェアディクショナリだけで編集または削除できます。ZENworks 7インベントリサーバのソフトウェアディクショナリにアクセスすると、これらのルールは濃い灰色で表示されます。
[未定義のソフトウェアを管理する]テーブルでは、次の操作を実行できます。
をクリックします。
後続のスキャンにおいて不明なソフトウェアが既知のソフトウェアとしてレポートされるようにするには、次の手順を実行します。
[未定義のソフトウェアを管理する]テーブル内のソフトウェアエントリを選択します。
ペインのをクリックします。
エントリがソフトウェアディクショナリ(Software Dictionary)テーブルに自動的に追加されます。
後続のスキャンにおいて不明なソフトウェアがレポートされないようにするには、次の手順を実行します。
[未定義のソフトウェアを管理する]テーブル内のソフトウェアエントリを選択します。
ペインのをクリックします。
エントリがソフトウェアスキャンフィルタ -[ファイル]のテーブルに自動的に追加されます。
[ソフトウェアの複数のバージョンのレポート]ルールを使用すると、インベントリ対象ワークステーションにインストールされている複数のバージョンをインベントリスキャナでレポートする対象にするソフトウェアを指定できます。
デフォルトでは、インベントリスキャナは、インベントリ対象ワークステーションにインストールされているソフトウェアの最新バージョンをスキャンします。
このルールを設定するには
ソフトウェア設定のプロパティページで、のオプションをクリックします。
[ソフトウェアの複数のバージョンのレポート]ダイアログボックスが表示されます。
![[ソフトウェアの複数のバージョンのレポート]ダイアログボックス](../graphics/report_multiplevel_a.gif)
インベントリ対象ワークステーション上にインストールされているソフトウェアのすべてのバージョンがインベントリスキャナによりレポートされるようにするには、[ソフトウェアの全バージョンのレポート]テーブルにルールを設定します。
[ソフトウェアの全バージョンのレポート]テーブルで、をクリックして新しい行を追加します。
ドロップダウンリストで、またはを選択します。
ソフトウェア名を指定します。
(オプション)ドロップダウンリストで、またはを選択します。
(オプション)ベンダ名を指定します。
たとえば、インベントリ対象ワークステーションにインストールされているAdobe Acrobat Readerのすべてのバージョンをインベントリスキャナでレポートする場合は、テーブルで次のように設定します。
インベントリ対象ワークステーションに、Acrobat Readerバージョン5.0および6.0がインストールされている場合、インベントリスキャナは両方のバージョンのAcrobat Reader (5.0および6.0)をレポートします。
重要:継承されたルールがテーブルに含まれることがあります。これらのルールは、ディクショナリ更新ポリシーで設定したインベントリサーバのソフトウェアディクショナリだけで編集または削除できます。ZENworks 7インベントリサーバのソフトウェアディクショナリにアクセスすると、これらのルールは濃い灰色で表示されます。
テーブルからエントリを削除するには、エントリを選択し、をクリックします。継承されたエントリ以外のエントリを削除できます。
インベントリ対象ワークステーション上にインストールされているソフトウェアの最新バージョンのみがインベントリスキャナによりレポートされるようにするには、[最新バージョンのソフトウェアのみをレポート]テーブルにルールを設定します。
[最新のバージョンソフトウェアのみをレポート]テーブルで、をクリックして新しい行を追加します。
ドロップダウンリストで、またはを選択します。
ソフトウェア名を指定します。
(オプション)ドロップダウンリストで、またはを選択します。
(オプション)ベンダ名を指定します。
たとえば、インベントリ対象ワークステーションにインストールされているAdobe Acrobat Readerの最新バージョンのみをインベントリスキャナでレポートする場合は、テーブルで次のように設定します。
インベントリ対象ワークステーションに、Adobe Acrobat Readerバージョン4.0および5.0がインストールされている場合、インベントリスキャナはAdobe Acrobat Reader 5.0のみをレポートします。
重要:継承されたルールがテーブルに含まれることがあります。これらのルールは、ディクショナリ更新ポリシーで設定したインベントリサーバのソフトウェアディクショナリだけで編集または削除できます。ZENworks 7インベントリサーバのソフトウェアディクショナリにアクセスすると、これらのルールは濃い灰色で表示されます。
テーブルからエントリを削除するには、エントリを選択し、をクリックします。継承されたエントリ以外のエントリを削除できます。
をクリックします。
デフォルトでは、スキャナはインストールされているソフトウェアの最新バージョンのみをレポートします。[ソフトウェアの全バージョンのレポート]のルールが[最新バージョンのソフトウェアのみをレポート]のルールと競合する場合、[ソフトウェアの全バージョンのレポート]のルールは[最新バージョンのソフトウェアのみをレポート]のルールによって上書きされます。
たとえば、Microsoft Office を除く Microsoft ソフトウェアのすべてのバージョンがインベントリスキャナによりレポートされるように設定する一方で、インストールされている Microsoft Office の最新バージョンのみがレポートされるように設定する場合は、次のようにフィルタを設定します。
[ソフトウェアの全バージョンのレポート] 次の設定を指定します。
[ソフトウェアの最新バージョンだけをレポートする] 次の設定を指定します。
[ファイル拡張子別のディスク使用状況のレポート]ルールを使用すると、総ディスク使用量をスキャンするファイルのファイル拡張子を指定できます。
このルールを設定するには
ソフトウェア設定のプロパティページで、のオプションをクリックします。
[ディスク使用状況 - ファイル拡張子]テーブルが表示されます。
![[ディスク使用状況 - ファイル拡張子]テーブル](../graphics/diskusage_fileext_a.gif)
をクリックして、新しい行を追加します。
ドロップダウンリストで、またはを選択します。
ファイル拡張子を指定します。
をクリックします。
たとえば、拡張子が.pifのすべてのファイルについて、インベントリスキャナでディスク使用状況をスキャンする場合は、[ディスク使用状況 - ファイル拡張子]テーブルで次のように設定します。
インベントリスキャナは、拡張子が「.pif」のすべてのファイルのディスク使用量の合計をスキャンして、インベントリデータベースに保存します。
重要:継承されたルールがテーブルに含まれることがあります。これらのルールは、ディクショナリ更新ポリシーで設定したインベントリサーバのソフトウェアディクショナリだけで編集または削除できます。ZENworks 7インベントリサーバのソフトウェアディクショナリにアクセスすると、これらのルールは濃い灰色で表示されます。
[ディスク使用状況 - ファイル拡張子]テーブルからエントリを削除するには、削除するエントリを選択して、をクリックします。継承されたエントリ以外のエントリを削除できます。
[ドライブおよびディレクトリ]フィルタを使用すると、指定したドライブおよびディレクトリ内のソフトウェアファイルのスキャンを制御できます。
このフィルタを設定するには
フィルタのプロパティページで、ペインにあるのオプションをクリックします。
[ソフトウェアスキャン - ドライブおよびディレクトリのフィルタ]ダイアログボックスが表示されます。
![[ソフトウェアスキャン - ドライブおよびディレクトリのフィルタ]ダイアログボックス](../graphics/swscan_drivedir_a.gif)
次のフィルタを設定します。
デフォルトでは、インベントリスキャナは、インベントリ対象ワークステーション上のすべてのディレクトリをスキャンします。[ディレクトリを無視する]フィルタを使用してスキャン時にすべてのディレクトリを無視するルールを設定した一方で、特定のディレクトリをスキャン対象としたい場合は、[ディレクトリのスキャン]フィルタを使用して特定のディレクトリを指定します。[スキャンするディレクトリ(Scan Directories)]フィルタの設定は、[ディレクトリを無視する(Ignore Directories)]フィルタや[ドライブを無視する(Ignore Drives)]フィルタの設定よりも優先されます。
たとえば、Windowsインベントリ対象ワークステーションのC:ドライブ(c:\program filesディレクトリを除く)に含まれるすべてのファイルおよびディレクトリを無視するようにインベントリスキャナを設定するには、次のようにフィルタを設定します。
[ドライブを無視する] 次の設定を指定します。
[ディレクトリのスキャン] 次の設定を指定します。
をクリックします。
[ドライブを無視する]フィルタを使用すると、インベントリ対象ワークステーション上でスキャンしないドライブを指定できます。
デフォルトでは、インベントリスキャナはすべてのドライブをスキャンします。
このフィルタを設定するには
[ドライブを無視する]テーブルで、をクリックして新しい行を追加します。
ドロップダウンリストで、、、またはを選択します。
(条件)パターンタイプとしてを選択した場合は、インベントリ対象ワークステーションのオペレーティングシステムに応じてドロップダウンリストでまたはを選択します。
重要:パターンタイプとしてまたはを選択した場合は、列の対応する値が自動的にに変更されます。この値は変更できません。
ドライブ名を指定します。
たとえば、すべてのWindowsインベントリ対象ワークステーション上のCドライブのファイルをインベントリスキャナによるスキャンから除外する場合は、[ドライブを無視する]テーブルで次のように設定します。
インベントリスキャナは、Cドライブのファイルをスキャンしません。
重要:継承されたルールがテーブルに含まれることがあります。これらのルールは、ディクショナリ更新ポリシーで設定したインベントリサーバのソフトウェアディクショナリだけで編集または削除できます。ZENworks 7インベントリサーバのソフトウェアディクショナリにアクセスすると、これらのルールは濃い灰色で表示されます。
[ドライブを無視する]テーブルからエントリを削除するには、エントリを選択し、をクリックします。継承されたエントリ以外のエントリを削除できます。
[ドライブのスキャン]フィルタを使用すると、インベントリ対象ワークステーション上でスキャンするドライブを指定できます。
このフィルタを設定するには
[ドライブのスキャン]テーブルで、をクリックして新しい行を追加します。
ドロップダウンリストで、、、またはを選択します。
(条件)パターンタイプとしてを選択した場合は、インベントリ対象ワークステーションのオペレーティングシステムに応じてドロップダウンリストでまたはを選択します。
重要:パターンタイプとしてまたはを選択した場合は、列の対応する値が自動的にに変更されます。この値は変更できません。
ドライブ名を指定します。
たとえば、すべてのWindowsインベントリ対象ワークステーション上で、Cドライブのファイルをインベントリスキャナでスキャンする場合は、[ドライブのスキャン]テーブルで次のように設定します。
また、[ドライブを無視する]テーブルで次のように設定する必要があります。
インベントリスキャナは、Cドライブのファイルのソフトウェア情報のみをスキャンします。
重要:継承されたルールがテーブルに含まれることがあります。これらのルールは、ディクショナリ更新ポリシーで設定したインベントリサーバのソフトウェアディクショナリだけで編集または削除できます。ZENworks 7インベントリサーバのソフトウェアディクショナリにアクセスすると、これらのルールは濃い灰色で表示されます。
[ドライブのスキャン]テーブルからエントリを削除するには、エントリを選択し、をクリックします。継承されたエントリ以外のエントリを削除できます。
重要:デフォルトでは、ZENworksソフトウェアディクショナリは、インベントリ対象ワークステーション上のすべてのディレクトリをスキャンします。[ドライブを無視する]フィルタを使用してスキャン時にすべてのドライブを無視するように設定した一方で、特定のドライブをスキャン対象としたい場合は、[ドライブのスキャン]フィルタを使用して特定のドライブを指定します。[スキャンするドライブ(Scan Drives)]フィルタの設定は、[ドライブを無視する(Ignore Drives)]フィルタの設定よりも優先されます。
[ディレクトリを無視する]フィルタを使用すると、インベントリ対象ワークステーションでファイルをスキャンしないディレクトリを設定できます。
デフォルトでは、インベントリスキャナはすべてのディレクトリをスキャンします。
このフィルタを設定するには
[ディレクトリを無視する]テーブルで、をクリックして新しい行を追加します。
ドロップダウンリストで、、、またはを選択します。
(条件)パターンタイプとしてを選択した場合は、インベントリ対象ワークステーションのオペレーティングシステムに応じてドロップダウンリストでまたはを選択します。
重要:パターンタイプとしてまたはを選択した場合は、列の対応する値が自動的にに変更されます。この値は変更できません。
ディレクトリ名を指定します。
たとえば、すべてのWindowsインベントリ対象ワークステーション上のc:\program filesディレクトリのファイルをインベントリスキャナによるスキャンから除外する場合は、[ディレクトリを無視する]テーブルで次のように設定します。
インベントリスキャナはc:\program filesのファイルをスキャンしません。
重要:継承されたルールがテーブルに含まれることがあります。これらのルールは、ディクショナリ更新ポリシーで設定したインベントリサーバのソフトウェアディクショナリだけで編集または削除できます。ZENworks 7インベントリサーバのソフトウェアディクショナリにアクセスすると、これらのルールは濃い灰色で表示されます。
[ディレクトリを無視する]テーブルからエントリを削除するには、削除するエントリを選択して、をクリックします。継承されたエントリ以外のエントリを削除できます。
[ディレクトリのスキャン]フィルタを使用すると、インベントリ対象ワークステーションでファイルをスキャンするディレクトリを指定できます。
このフィルタを設定するには
[ディレクトリのスキャン]テーブルで、をクリックして新しい行を追加します。
ドロップダウンリストで、、、またはを選択します。
(条件)パターンタイプとしてを選択した場合は、インベントリ対象ワークステーションのオペレーティングシステムに応じてドロップダウンリストでまたはを選択します。
重要:パターンタイプとしてまたはを選択した場合は、列の対応する値が自動的にに変更されます。この値は変更できません。
ディレクトリ名を指定します。
たとえば、すべてのWindowsインベントリ対象ワークステーション上で、c:\programディレクトリのファイルをインベントリスキャナでスキャンする場合は、[ディレクトリのスキャン]テーブルで次のように設定します。
また、[ディレクトリを無視する]テーブルで次のように設定する必要があります。
インベントリスキャナは、c:\programディレクトリのファイルのみをスキャンしてソフトウェア情報を確認します。
重要:継承されたルールがテーブルに含まれることがあります。これらのルールは、ディクショナリ更新ポリシーで設定したインベントリサーバのソフトウェアディクショナリだけで編集または削除できます。ZENworks 7インベントリサーバのソフトウェアディクショナリにアクセスすると、これらのルールは濃い灰色で表示されます。
[ディレクトリのスキャン]テーブルからエントリを削除するには、削除するエントリを選択して、をクリックします。継承されたエントリ以外のエントリを削除できます。
[ファイル拡張子]フィルタを使用すると、指定した拡張子を持つソフトウェアファイルのスキャンを制御できます。
このフィルタを設定するには
フィルタのプロパティページで、ペインにあるのオプションをクリックします。
[ソフトウェアスキャン - ファイル拡張子フィルタ]ダイアログボックスが表示されます。
![[ソフトウェアスキャン - ファイル拡張子フィルタ]ダイアログボックス](../graphics/swscan_fileext_a.gif)
次のフィルタを設定します。
をクリックします。
[ファイル拡張子を無視する]フィルタを使用すると、インベントリ対象ワークステーション上でスキャンしないファイル拡張子を指定できます。
このフィルタを設定するには
[ファイル拡張子を無視する]テーブルで、をクリックして新しい行を追加します。
ドロップダウンリストで、またはを選択します。
ファイル拡張子を指定します。
たとえば、拡張子が「.ex」で始まるファイルをInventory Scannerでスキャンしない場合は、[ファイル拡張子を無視する]テーブルに次の設定を指定します。
インベントリスキャナは、拡張子が.exで始まるファイルをスキャンから除外します。たとえば、.ex1、.ex2、.exe、execはスキャンから除外されます。
重要:継承されたルールがテーブルに含まれることがあります。これらのルールは、ディクショナリ更新ポリシーで設定したインベントリサーバのソフトウェアディクショナリだけで編集または削除できます。ZENworks 7インベントリサーバのソフトウェアディクショナリにアクセスすると、これらのルールは濃い灰色で表示されます。
[ファイル拡張子を無視する]テーブルからエントリを削除するには、エントリを選択し、をクリックします。継承されたエントリ以外のエントリを削除できます。
[ファイル拡張子のスキャン]フィルタを使用すると、インベントリ対象ワークステーション上でスキャンするファイル拡張子を指定できます。
[ファイル拡張子を無視する]フィルタを使用してファイル拡張子をスキャンから除外した一方で、特定のファイル拡張子をスキャン対象としたい場合は、[ファイル拡張子のスキャン]フィルタを使用して特定のファイル拡張子を指定します。[スキャンするファイル拡張子(Scan File Extensions)]フィルタの設定は、[ファイル拡張子を無視する(Ignore File Extensions)]フィルタの設定よりも優先されます。
このフィルタを設定するには
[ファイル拡張子のスキャン]テーブルで、をクリックして新しい行を追加します。
ドロップダウンリストで、またはを選択します。
ファイル拡張子を指定します。
たとえば、拡張子が「.exe」のすべてのファイルをInventory Scannerでスキャンする場合は、[ファイル拡張子のスキャン]テーブルで次のように設定します。
インベントリスキャナは、拡張子が.exeのファイルのみをスキャンしてインベントリデータベースに保存します。
重要:継承されたルールがテーブルに含まれることがあります。これらのルールは、ディクショナリ更新ポリシーで設定したインベントリサーバのソフトウェアディクショナリだけで編集または削除できます。ZENworks 7インベントリサーバのソフトウェアディクショナリにアクセスすると、これらのルールは濃い灰色で表示されます。
[ファイル拡張子のスキャン]テーブルからエントリを削除するには、削除するエントリを選択して、をクリックします。継承されたエントリ以外のエントリを削除できます。
[ファイル]フィルタを使用すると、指定したファイルのスキャンを制御できます。
このフィルタを設定するには
フィルタのプロパティページで、ペインにあるのオプションをクリックします。
[ソフトウェアスキャン - ファイルを無視する]テーブルが表示されます。
![[ソフトウェアスキャン - ファイルを無視する]テーブル](../graphics/swscan_ignorefile_a.gif)
をクリックして、新しい行を追加します。
ドロップダウンリストで、、、またはを選択します。
(条件)パターンタイプとしてを選択した場合は、インベントリ対象ワークステーションのオペレーティングシステムに応じてドロップダウンリストでまたはを選択します。
重要:パターンタイプとしてまたはを選択した場合は、列の対応する値が自動的にに変更されます。この値は変更できません。
ファイル名を指定します。
をクリックします。
たとえば、インベントリスキャナですべてのWindowsインベントリ対象ワークステーション上のnotepad.exeをスキャンしたい場合は、次のように設定します。
このテーブルには、[未定義のソフトウェアを管理する]テーブルから追加されたファイルも表示されます。
重要:継承されたルールがテーブルに含まれることがあります。これらのルールは、ディクショナリ更新ポリシーで設定したインベントリサーバのソフトウェアディクショナリだけで編集または削除できます。ZENworks 7インベントリサーバのソフトウェアディクショナリにアクセスすると、これらのルールは濃い灰色で表示されます。
[ソフトウェアスキャン - ファイルフィルタ]テーブルでは、次の操作を実行することもできます。
[ソフトウェア]フィルタを使用すると、インベントリスキャン時に除外するソフトウェアを設定できます。
このフィルタを設定するには
フィルタのプロパティページで、ペインにあるのオプションをクリックします。
[ソフトウェアスキャン - ソフトウェアを無視する]テーブルが表示されます。
![[ソフトウェアスキャン - ソフトウェアを無視する]テーブル](../graphics/swscan_ignoresw_a.gif)
[ソフトウェアを無視する]テーブルには、手動でまたは自動的にエントリを追加できます。
たとえば、インベントリスキャナでAdobe製品をスキャンしないように設定するには、次のように設定します。
インベントリスキャナは、名前が“Adobe”で始まるソフトウェアをレポートから除外します。
![[データベースでスキャンしたソフトウェア]ダイアログボックス](../graphics/scannedsw_db_a.gif)
重要:継承されたルールがテーブルに含まれることがあります。これらのルールは、ディクショナリ更新ポリシーで設定したインベントリサーバのソフトウェアディクショナリだけで編集または削除できます。ZENworks 7インベントリサーバのソフトウェアディクショナリにアクセスすると、これらのルールは濃い灰色で表示されます。
[ソフトウェアスキャン - ソフトウェアを無視する]テーブルでは、次の操作を実行することもできます。
[ドライブおよびディレクトリ]フィルタを使用すると、インベントリディスク使用状況スキャン時に含めるまたは除外するドライブおよびディレクトリを設定できます。
このフィルタを設定するには
フィルタのプロパティページで、ペインにあるのオプションをクリックします。
[ディスク使用状況スキャン - ドライブおよびディレクトリのフィルタ]ダイアログボックスが表示されます。
![[ディスク使用状況スキャン - ドライブおよびディレクトリのフィルタ]ダイアログボックス](../graphics/diskscan_drivedir_a.gif)
次のフィルタを設定します。
デフォルトでは、インベントリスキャナは、インベントリ対象ワークステーション上のすべてのディレクトリのディスク使用状況をスキャンします。[ディレクトリを無視する]フィルタを使用してディスク使用状況スキャンを実行する時に、すべてのディレクトリを無視するように設定した一方で、特定のディレクトリを対象としたい場合は、[ディレクトリのスキャン]フィルタを使用して特定のディレクトリを指定します。[スキャンするディレクトリ(Scan Directories)]フィルタの設定は、[ディレクトリを無視する(Ignore Directories)]フィルタや[ドライブを無視する(Ignore Drives)]フィルタの設定よりも優先されます。
たとえば、Windowsインベントリ対象ワークステーションのC:(c:\program filesディレクトリを除く)に含まれるすべてのファイルおよびディレクトリのディスク使用状況をインベントリスキャナで無視する場合は、次のようにフィルタを設定します。
[ドライブを無視する] 次の設定を指定します。
[ディレクトリのスキャン] 次の設定を指定します。
をクリックします。
[ドライブを無視する]フィルタを使用すると、インベントリ対象ワークステーション上でディスク使用状況をスキャンしないドライブを指定できます。
デフォルトでは、インベントリスキャナはすべてのドライブをスキャンします。
[ドライブを無視する]フィルタを設定するには
[ドライブを無視する]テーブルで、をクリックして新しい行を追加します。
ドロップダウンリストで、、、またはを選択します。
(条件)パターンタイプとしてを選択した場合は、インベントリ対象ワークステーションのオペレーティングシステムに応じてドロップダウンリストでまたはを選択します。
重要:パターンタイプとしてまたはを選択した場合は、列の対応する値が自動的にに変更されます。この値は変更できません。
ドライブ名を指定します。
たとえば、すべてのWindows*インベントリ対象ワークステーション上のCドライブをインベントリスキャナによるディスク使用状況のスキャンから除外する場合は、[ドライブを無視する]テーブルで次のように設定します。
インベントリスキャナは、Cドライブのファイルのディスク使用状況をスキャンから除外します。
重要:継承されたルールがテーブルに含まれることがあります。これらのルールは、ディクショナリ更新ポリシーで設定したインベントリサーバのソフトウェアディクショナリだけで編集または削除できます。ZENworks 7インベントリサーバのソフトウェアディクショナリにアクセスすると、これらのルールは濃い灰色で表示されます。
[ドライブを無視する]テーブルからエントリを削除するには、エントリを選択し、をクリックします。継承されたエントリ以外のエントリを削除できます。
[ドライブのスキャン]フィルタを使用すると、インベントリ対象ワークステーション上でディスク使用状況をスキャンするドライブを指定できます。
[ドライブのスキャン]フィルタを設定するには
[ドライブのスキャン]テーブルで、をクリックして新しい行を追加します。
ドロップダウンリストで、、、またはを選択します。
(条件)パターンタイプとしてを選択した場合は、インベントリ対象ワークステーションのオペレーティングシステムに応じてドロップダウンリストでまたはを選択します。
重要:パターンタイプとしてまたはを選択した場合は、列の対応する値が自動的にに変更されます。この値は変更できません。
ドライブ名を指定します。
たとえば、すべてのWindowsインベントリ対象ワークステーション上のCドライブのディスク使用状況を、インベントリスキャナでスキャンする場合は、[ドライブのスキャン]テーブルで次のように設定します。
また、[ドライブを無視する]テーブルで次のように設定する必要があります。
インベントリスキャナは、Cドライブのファイルのディスク使用状況をスキャンしてインベントリデータベースに保存します。
重要:継承されたルールがテーブルに含まれることがあります。これらのルールは、ディクショナリ更新ポリシーで設定したインベントリサーバのソフトウェアディクショナリだけで編集または削除できます。ZENworks 7インベントリサーバのソフトウェアディクショナリにアクセスすると、これらのルールは濃い灰色で表示されます。
[ドライブのスキャン]テーブルからエントリを削除するには、エントリを選択し、をクリックします。継承されたエントリ以外のエントリを削除できます。
重要:デフォルトでは、インベントリスキャナは、インベントリ対象ワークステーション上のすべてのドライブのディスク使用状況をスキャンします。[ドライブを無視する]フィルタを使用してディスク使用状況スキャン時にすべてのドライブを無視するように設定した一方で、特定のドライブをスキャン対象としたい場合は、[ドライブのスキャン]フィルタを使用して特定のドライブを指定します。[スキャンするドライブ(Scan Drives)]フィルタの設定は、[ドライブを無視する(Ignore Drives)]フィルタの設定よりも優先されます。
[ディレクトリを無視する]フィルタを使用すると、インベントリ対象ワークステーションでディスク使用状況をスキャンしないディレクトリを設定できます。
デフォルトでは、インベントリスキャナはすべてのディレクトリをスキャンします。
[ディレクトリを無視する]フィルタを設定するには
[ディレクトリを無視する]テーブルで、をクリックして新しい行を追加します。
ドロップダウンリストで、、、またはを選択します。
(条件)パターンタイプとしてを選択した場合は、インベントリ対象ワークステーションのオペレーティングシステムに応じてドロップダウンリストでまたはを選択します。
重要:パターンタイプとしてまたはを選択した場合は、列の対応する値が自動的にに変更されます。この値は変更できません。
ディレクトリ名を指定します。
たとえば、すべてのWindowsインベントリ対象ワークステーション上のc:\program filesディレクトリをインベントリスキャナによるディスク使用状況のスキャンから除外する場合は、[ディレクトリを無視する]テーブルで次のように設定します。
インベントリスキャナはc:\program filesのディスク使用状況をスキャンしません。
重要:継承されたルールがテーブルに含まれることがあります。これらのルールは、ディクショナリ更新ポリシーで設定したインベントリサーバのソフトウェアディクショナリだけで編集または削除できます。ZENworks 7インベントリサーバのソフトウェアディクショナリにアクセスすると、これらのルールは濃い灰色で表示されます。
[ディレクトリを無視する]テーブルからエントリを削除するには、削除するエントリを選択して、をクリックします。継承されたエントリ以外のエントリを削除できます。
[ディレクトリのスキャン]フィルタを使用すると、インベントリ対象ワークステーション上でディスク使用状況をスキャンするディレクトリを指定できます。
[ディレクトリのスキャン]フィルタを設定するには
[ディレクトリのスキャン]テーブルで、をクリックして新しい行を追加します。
ドロップダウンリストで、、、またはを選択します。
(条件)パターンタイプとしてを選択した場合は、インベントリ対象ワークステーションのオペレーティングシステムに応じてドロップダウンリストでまたはを選択します。
重要:パターンタイプとしてまたはを選択した場合は、列の対応する値が自動的にに変更されます。この値は変更できません。
ディレクトリ名を指定します。
たとえば、すべてのWindowsインベントリ対象ワークステーション上で、c:\program filesディレクトリのディスク使用状況をインベントリスキャナでスキャンする場合は、[ディレクトリのスキャン]テーブルで次のように設定します。
また、[ディレクトリを無視する]テーブルで次のように設定する必要があります。
インベントリスキャナは、c:\program filesのファイルのディスク使用状況のみをスキャンしてインベントリデータベース内に保管します。
重要:継承されたルールがテーブルに含まれることがあります。これらのルールは、ディクショナリ更新ポリシーで設定したインベントリサーバのソフトウェアディクショナリだけで編集または削除できます。ZENworks 7インベントリサーバのソフトウェアディクショナリにアクセスすると、これらのルールは濃い灰色で表示されます。
[ディレクトリのスキャン]テーブルからエントリを削除するには、削除するエントリを選択して、をクリックします。継承されたエントリ以外のエントリを削除できます。
[ファイル]フィルタを使用すると、インベントリディスク使用状況スキャン時に除外するファイルを設定できます。
このフィルタを設定するには
フィルタのプロパティページで、ペインにあるのオプションをクリックします。
[ディスク使用状況スキャン - ファイルを無視する]ダイアログボックスが表示されます。

をクリックして、新しい行を追加します。
ドロップダウンリストで、、、またはを選択します。
(条件)パターンタイプとしてを選択した場合は、インベントリ対象サーバのオペレーティングシステムに応じてドロップダウンリストでまたはを選択します。
重要:パターンタイプとしてまたはを選択した場合は、列の対応する値が自動的にに変更されます。この値は変更できません。
ファイルを指定します。
をクリックします。
たとえば、インベントリスキャナで、msoffice.exeを除く、拡張子が「.exe」のすべてのファイルのディスク使用状況をスキャンする場合は、次のようにルールを設定します。
ディスク使用状況スキャン - ファイルを無視する 次の設定を指定します。
[ファイル拡張子別のディスク使用状況のレポート] 次の設定を指定します。
重要:継承されたルールがテーブルに含まれることがあります。これらのルールは、ディクショナリ更新ポリシーで設定したインベントリサーバのソフトウェアディクショナリだけで編集または削除できます。ZENworks 7インベントリサーバのソフトウェアディクショナリにアクセスすると、これらのルールは濃い灰色で表示されます。
テーブルからエントリを削除するには、エントリを選択し、をクリックします。継承されたエントリ以外のエントリを削除できます。
[ベンダ名の別名]ルールを使用すると、ベンダ名の別名を設定することができます。
別名のプロパティページで、ペインにあるのオプションをクリックします。
[ベンダ名の別名]テーブルが表示されます。
![[ベンダ名の別名]テーブル](../graphics/vendornamealiase_a.gif)
をクリックして、新しい行を追加します。
ドロップダウンリストで、またはを選択します。
別名パターンを指定します。
別名を指定します。
をクリックします。
たとえば、「Microsoft」で始まるベンダ名のすべてのインスタンスを、インベントリスキャナで「Microsoft Corporation」としてインベントリデータベースにレポートする場合は、次のように設定します。
インベントリスキャナのスキャンでMicrosoft、Microsoft Inc.、またはMicrosoft Inc. Corporationがレポートされた場合は、先頭が「Microsoft」のベンダの名前が「Microsoft Corporation」としてインベントリデータベースに格納されます。
重要:継承されたルールがテーブルに含まれることがあります。これらのルールは、ディクショナリ更新ポリシーで設定したインベントリサーバのソフトウェアディクショナリだけで編集または削除できます。ZENworks 7インベントリサーバのソフトウェアディクショナリにアクセスすると、これらのルールは濃い灰色で表示されます。
[ベンダ名の別名]テーブルでは、次の操作を実行することもできます。
[ソフトウェア名の別名]ルールを使用すると、ソフトウェア名の別名を設定することができます。
別名のプロパティページで、ペインにあるのオプションを選択します。
[ソフトウェア名の別名]テーブルが表示されます。
![[ソフトウェア名の別名]](../graphics/swnamealiase_a.gif)
をクリックして、新しい行を追加します。
ドロップダウンリストで、またはを選択します。
別名パターンを指定します。
別名を指定します。
をクリックします。
たとえば、インベントリスキャナで、製品名「WinZip」のすべてのインスタンスを「WinZip Application」としてインベントリデータベースにレポートする場合は、次のように設定します。
インベントリスキャナによりWinZip、WinZip Executables、またはWinZip Applications製品名がスキャンされた場合、「WinZip」と完全に一致するソフトウェアの名前は「WinZip Application」としてインベントリデータベースに保存されます。残りのソフトウェア名は、スキャンされたとおりにレポートされます。
重要:継承されたルールがテーブルに含まれることがあります。これらのルールは、ディクショナリ更新ポリシーで設定したインベントリサーバのソフトウェアディクショナリだけで編集または削除できます。ZENworks 7インベントリサーバのソフトウェアディクショナリにアクセスすると、これらのルールは濃い灰色で表示されます。
[ソフトウェア名の別名]テーブルでは、次の操作を実行することもできます。
[ソフトウェアの照合]ルールを使用すると、[プログラムの追加と削除]またはMSIで識別されたソフトウェアを、ソフトウェアディクショナリを介して識別および設定された適切なソフトウェアおよびベンダに関連付けることができます。ZENworksソフトウェアディクショナリに設定されているのと同じソフトウェア名およびベンダが[プログラムの追加と削除]またはMSIのソフトウェアエントリに使用されているとは限らないので、関連付けは必要です。
ルールを設定するには
別名のプロパティページで、ペインにあるのオプションをクリックします。
[ソフトウェアの照合]テーブルが表示されます。
![[ソフトウェアの照合]テーブル](../graphics/reconcilesw_a.gif)
デフォルトでは、[ソフトウェアの照合]テーブルには、[プログラムの追加と削除]またはMSIに含まれるソフトウェアとソフトウェアディクショナリに設定されたソフトウェアとの定義済みのマッピングが表示されます。また、前回のスキャン時に識別され、ソフトウェアおよびベンダ名を設定できる、[プログラムの追加と削除]またはMSIのソフトウェアが表示されます。この表には、次の列があります。
この属性の値は変更できません。
[表示されているARP/MSIソフトウェア名]には、[プログラムの追加と削除]またはMSIを介して識別されインベントリデータベースに格納されているソフトウェアが表示されます。
この属性の値は変更できません。
重要:継承されたルールがテーブルに含まれることがあります。これらのルールは、ディクショナリ更新ポリシーで設定したインベントリサーバのソフトウェアディクショナリだけで編集または削除できます。ZENworks 7インベントリサーバのソフトウェアディクショナリにアクセスすると、これらのルールは濃い灰色で表示されます。
ソフトウェアを照合するには:
[ソフトウェアの照合]テーブルでは、次の操作を実行することもできます。
テーブル内のエントリを、1つ、2つ、または3つの列を使用してソートできます。
をクリックします。
[ソート]ダイアログボックスが表示されます。
ドロップダウンリストから、エントリをソートするテーブル列を選択します。
またはを選択します。
(オプション)2つまたは3つの列を使用してソートするには、ドロップダウンリストを設定し、またはを選択します。
をクリックします。
をクリックします。
[フィルタ]ダイアログボックスが表示されます。
[フィルタ(Filter)]ダイアログボックスで、次の操作を行って照会を作成します。
属性を選択します。
演算子を選択します。表示される演算子は、手順2aで選択した属性によって異なります。
値を入力します。
(オプション)高度な照会を作成するには、次のいずれかの論理演算子を選択し、照会を定義します。
をクリックします。
フィルタを適用すると、テーブルリストには適用結果のエントリだけが表示されます。フィルタをクリアするには、次の操作を行います。
をクリックします。
[フィルタ]ダイアログボックスが表示されます。
をクリックし、をクリックします。
ソートまたはフィルタ操作を再び適用する場合は、オプションを使用してください。テーブルのエントリを更新するには、をクリックするか、<F5>を押します。
重要:ボタンは、テーブルにソートまたはフィルタ操作を適用した場合にのみ表示されます。
次のソフトウェアを除くすべてのソフトウェアに対して、ソフトウェアスキャンを無効に設定できます。
ファイルスキャンを無効にするには
ConsoleOneで、インベントリサービスオブジェクトを右クリックし、をクリックします。
タブをクリックします。
デフォルトでは[ソフトウェア設定]ページが表示されます。
チェックボックスを選択します。
[これらの拡張子のファイルを不明なソフトウェアとしてレポートします]ルールのボタンをクリックします。
デフォルトでは、テーブルにEXEファイル拡張子のエントリがあります。このエントリを削除します。
をクリックします。
>の順にクリックします。
初めてソフトウェアディクショナリを展開する際、デフォルトのディクショナリ設定が有効になり、インベントリスキャナによって次の情報が収集されます。
このスキャンによって、無関係な大量の情報がインベントリデータベースに保存されます。またこのスキャンにより、StorerやすべてのInventory ConsoleOneユーティリティ(照会、レポート生成など)のパフォーマンスが低下します。
こうした問題を回避するため、企業内にソフトウェアディクショナリを展開する前に、それぞれの要件に合わせてソフトウェアディクショナリの微調整を行うことをお勧めします。ソフトウェアディクショナリの微調整を行うには、次の手順を実行します。
数台のインベントリ対象ワークステーションで構成される、小規模な見本セットをテストラボに展開します。
メモ:一般にこの見本セットには、インベントリ情報の収集対象となる企業のすべての部門の環境を含める必要があります。
こうしたインベントリ対象ワークステーションを、スタンドアロンインベントリサーバに接続します。このサーバもテストラボに展開されます。
[これらの拡張子のファイルを不明なソフトウェアとしてレポートします]のルールに関する表に記載されたデフォルトの条件に加えて、他のファイル拡張子をスキャンの対象に含めることにより、これらのファイルを識別されたソフトウェアとしてレポートすることができます。DLLなどのアプリケーションファイルの拡張子を設定することができます。
スキャンのスケジュールを設定した後、インベントリデータベースにインベントリ情報が保存されるのを待ちます。
このデータベース内のインベントリ情報に基づいてソフトウェアディクショナリを再設定することで、問題を解決できます。次の作業を実行します。
不明なソフトウェア: [これらの拡張子のファイルを不明なソフトウェアとしてレポートします]設定に基づいて、不明なソフトウェアに関連するすべての情報を[未定義のソフトウェアを管理する]テーブルに表示できます。
次を含む結果が表示されます。
[未定義のソフトウェアを管理する]テーブルで、次の手順を実行します。
この操作が有効となるのは、次の前提が満たされている場合です。
同じインベントリ対象ワークステーション上の複数のソフトウェアインスタンス: あるインベントリ対象ワークステーションで、1つのエントリが[プログラムの追加と削除]のスキャンまたはMSIスキャンによって報告され、もう1つのエントリがソフトウェアディクショナリ設定に基づいて報告される場合は、同じソフトウェアが2回報告されます。セクション 76.3.25, [ソフトウェアの照合]ルールには、このような2つのエントリをマージするデフォルト設定がありますが完全ではありません。この問題を解決するには、[追加/削除ソフトウェアを編集する]ルールを手動で設定する必要があります。
ソフトウェアを含まない冗長ドライブおよびディレクトリ: ソフトウェアディクショナリの[ソフトウェアスキャン]ページおよび[ディスク使用状況スキャン]ページでルールを設定して、このようなドライブとディレクトリをスキャンの対象から排除します。ソフトウェアディクショナリのルールに関する詳細については、ステップ 3を参照してください。
すべてのインベントリ対象ワークステーションに対し再びスキャンを実行します。
インベントリ情報がインベントリデータベースに保存された後、前のスキャンでディクショナリに対してマークしたすべてのエントリがソフトウェアとしてスキャンされ、レポートされるはずです。
要件が満たされるまで手順3から7を繰り返し、微調整を実行します。
インベントリデータベースを設定します。インベントリデータベースの設定方法に関する詳細については、セクション 77.1.1, インベントリデータベースの設定を参照してください。
インベントリ対象ワークステーションオブジェクトを右クリックし、>の順にクリックします。
[概要]ダイアログボックスで、>>>の順にクリックしてソフトウェアインベントリ情報を表示します。
ベンダのソフトウェアグループおよびソフトウェアのリストが表示されます。ソフトウェアグループには、グループのソフトウェアパッチおよび代表的なファイル情報が含まれます。ソフトウェアには、製品のソフトウェアパッチおよび代表的なファイル情報が含まれます。
詳細については、セクション 77.1.2, インベントリ対象ワークステーションのインベントリサマリの表示を参照してください。
このリリースでは、次のソフトウェアインベントリレポートを生成できます。
各レポートの詳細については、インベントリレポートの種類を参照してください。